例题 04-10-02-02 图示两小球的质量均为 ,分别用两根长 的塑料细线悬挂着。当两球带有等量的同种电荷时,它们相互推斥分开,在彼此相距 处达到平衡。求每个球上所带的电荷 。

解 对每个小球来说,受重力 、悬线拉力 和小球间的静电斥力 三个力作用。根据库仑定律, 的大小为 。由于小球分别处于平衡状态,它们的速度和加速度皆为零。根据牛顿第二定律,对其中任一个小球来说,在铅直方向和水平方向分别有
(a)
(b)
从(a)、(b)两式得

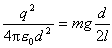
由于两球分开的距离和悬线长度相比甚小,故角 也甚小,因而 。这样,上式可写作

故

将题设各值代入上式,读者可自行算出各球所带电荷为

本题有两个答案。因为两球既然相斥,它们可以都带正电,也可以都带负电。
|