|
例题 04-10-05-05 在垂直于均匀带电圆盘的轴上的场强 一半径为 的均匀带电圆盘,盘面 上每单位面积所带的电荷(称为面电荷密度,其单位是 )为 ,设圆盘带正电,即 ,求垂直于盘面的轴上任一场点 的场强。
分析 按题设,圆盘面 为一均匀带电平面,故面电荷密度 为一恒量。求解时,可将均匀带电圆盘视作由许多不同半径的同心带电圆环所组成,每一圆环在轴上任一场点的场强 可借上例的结果给出,再按电场强度叠加原理,通过积分,就可以求出整个带电圆盘在点 的场强
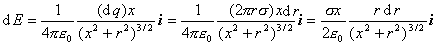
解 如图所示,在圆盘上距盘心为 处取宽度 的圆环,这个圆环上带有电荷 ,
利用上例的结果,它在点 的场强为

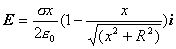
对上式进行矢量积分,即得整个带电圆盘在轴上一点 ( 为定值)的场强为

即
说明:由于各带电同心圆环在点 的场强 ,其方向一致,所以上式矢量积分实际上只需进行标量积分的运算。
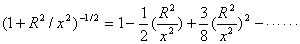
讨论 若 ,则可将上式改写成

将上式的
按二项式定理展开,有

因 ,可略去式中的高阶项,只保留前两项。然后,把它代入前式,并化简,从而可得离盘面甚远处的场强公式,它与点电荷的场强公式相同,即
|