|
例题 04-10-05-03 均匀带电细棒的电场 一长为 的均匀带电细棒,线电荷密度为 ,设场点 与细棒相距为 ,且与棒两端的连线分别和棒成夹角 、 ,求点 的场强。

分析 为了求点 的场强,首先把沿细棒连续分布的场源电荷分割成无限多个电荷元 ,求出每一电荷元在点 的场强 ,然后根据电场强度叠加原理,用积分法,求点 的总场强 。
解:今取点 到细棒的垂足 为原点,在棒上离原点 为 处取长度 的线元。由题设,电荷沿细棒均匀分布,线电荷密度为 ,因此 上所带的电荷为
。
设 到点 的距离为 ,则电荷元 在点 的场强 的大小为

的方向如上图所示。由于 是矢量,具体计算时可先求其分量。为此,在 和细棒所构成的平面上,以 为原点,选取图所示的坐标系 ,于是得 沿 、 轴的分量为
,

式中, 为 与 轴正向的夹角。由图可知,

求微分得 
又 
所以,由以上各式,得

分别对上两式积分,即得带电细棒在点 的场强 的两个分量


由此得场强 的矢量表示式为
(a)
式中 、
分别为 和 轴上的单位矢量。 的大小和方向可由上述两个分量 、 确定,即
,
式中,用 与 轴正向的夹角 表示场强 的方向。
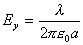
讨论 (1) 若点 位于细棒的中垂面上,则垂足 即为细棒的中点, 为中垂线。这时, ,且 ,因而上述两分量式成
,
这是因为细棒对称于中垂线 ,棒上对称于中垂线 的每一对等量的电荷元(例如,线元 和 ’在中垂线上任一点 的场强 和 ’,也对中垂线 对称,以致垂直于 的每一对分量 、 成对地互相抵消,因而总场强 沿 轴的分量 ;同时,它们沿 的每一对分量 、 ,方向相同,都沿 轴正向,因而互相叠加,其和即为上式中的 。故中垂线上一点P的总场强为 ,即
(b)
的方向沿 轴正向(因这里 ;如 ,则沿 轴负向)。
从式(b)可知,凡位于中垂面内的所有中垂线上、且与带正电细棒相距为 的场点(它们都在以细棒与中垂面的交点 为中心、以 为半径的圆上),其场强 的大小均相同,方向都沿相应的中垂线而背离细棒。亦即,在有限长的均匀带电细棒的中垂面上,场强分布呈辐射状。但对中垂面以外的场点则并非如此,其场强应按式(a)确定。
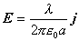
(2) 若均匀带电细棒为无限长,(实际的物体都是有限大小的,无限长细棒不过是一种数学上的抽象。设一长为
的细棒,在其中部的邻近区域中的任一点 ,与细棒相距为 ,若 ,则从点 来看细棒的两端宛如没有尽头,就可以认为细棒两端都延伸到无限远处。在本篇中,以后我们经常遇到"无限大平面"、"无限长的直导线"、"无限长螺线管"等术语,它们都是在类似于上述的相对意义上抽象出来的。
按照上述理解,对那些离有限长带电细棒很近、而又不在棒的两端附近的场点而言,这些点的场强就可以近似地用下面的式(c)来求。也就是说,以后我们提到无限长带电棒(或无限大带电平面)的电场时,读者应理解这电场是局限在带电体中部附近的区域内的。)
在前面第一张图中, 于是,从前面的两个分量式可得
,
场强 的矢量表示式为 ,即
(c)
在细棒为无限长的情况下,棒上任一点都可当作中点,任何垂直于细棒的平面都可看成是中垂面,而对于带电细棒中垂面上的场强分布,已在上面分析过了。这样,对无限长均匀带电细棒来说,在垂直于它的任一平面上,其场强分布情况都是相同的,亦即都和上一张图所示的情况一样。我们说,具有这种特点的电场是轴对称的。
|