例题 04-10-08-02  一金属球A()被一同心金属球壳B()所包围。球A和球壳B都均匀带电,球A表面上带电荷,球壳B上带电荷.分别求与球心O相距的点C和的点D的场强。

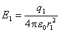
解  为了求点C的场强,选取经过点C、且与球同心的闭合球面作为高斯面,其半径为,所包围的电荷为,又由于对称,球面上各点的场强大小均相同,设为,则根据高斯定理,有

                

得               

点C的场强的方向沿半径背离中心。代入题设数据,算得的大小为

    

同理,设点D的场强为,取经过点D的闭合同心球面作为高斯面,其半径为,所包围的电荷为,则由高斯定理,有

             

由此,根据题设数据,可算得
         

          

          

(负号表示场强方向指向中心)