|
例题 04-10-05-04 在垂直于均匀带电圆环的轴上的场强。如图,电荷 均匀分布在一半径为 的细圆环上。计算在垂直于环面的轴线上任一场点 的场强。
解:如图所示,沿轴线取坐标轴 及单位矢量 ,设场点 与圆环中心 的距离为 ,在均匀带电圆环上任取一线元 ,它所带的电荷为 ,这个电荷元在点 的场强为 ,其大小为
(a)
式中, 为场点 到电荷元 的距离。 的方向如图所示。
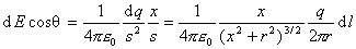
各电荷元在点 激发的场强,其方向各不相同;但根据对称关系,它们在垂直于 轴方向上的分矢量 互相抵消,而沿 轴的分矢量 的方向一致。因而求点 的总场强 ,就归结为求所有电荷元在 点激发的场强沿 轴分量 的标量积分,即
其中 为与 轴的夹角,
表示对整个带电圆环求积分。按题意,环上的线电荷密度为 ,因而,电荷元 ;又因
, 则
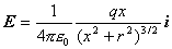
并且对给定点 来说, 是定值而不是变量,所以,把上式代入前式,便成为

式中, 等于环的周长 。于是,将所得结果表示成矢量式:
设 , , ,由上式得场强 的大小为


的方向沿 轴正向。也可写作 。
讨论: 当 时,
,则上述公式变成

上式与点电荷的场强公式一致。亦即,在求远离环心处的场强时,可以将环上电荷看成全部集中在环心处的一个点电荷,并用点电荷的场强公式来求。读者试由上述的公式求环心 点的场强,并根据场强的对称性分布阐释所得结果。
说明:从以上各例可以看到,利用场强叠加原理求各点的场强时,由于场强是矢量,具体运算中需将矢量的叠加转化为各分量(标量)的叠加;并且在计算时,关于场强的对称性的分析也是很重要的,在某些情形下,它往往能使我们立即看出矢量 的某些分量相互抵消而等于零,使计算大为简化。
|