例题 04-10-05-02 求电偶极子在其轴线的中垂线上某点的场强。
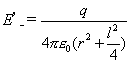
解 如图所示,令中垂线上某点到电偶极子中心的距离为,则在和的电场中,点的场强大小分别为 ,
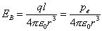
即,它们的方向分别在电荷和到点的连线上,指向如图所示。读者可进一步自行求出点处总场强的大小为,或 对电偶极子来说,,则,由此得 的方向与电矩的方向相反(见图)。这样,在电偶极子轴线的中垂线上一点的场强,可表示成矢量式 式中负号表示与反向。
04-10-02-01 04-10-02-02 04-10-02-03 04-10-05-01 04-10-05-02 04-10-05-03 04-10-05-04 04-10-05-05 04-10-05-06 04-10-05-07 04-10-08-01 04-10-08-02 04-10-10-01 04-10-11-01 04-10-11-02 04-10-11-03 04-10-11-04 04-10-13-01