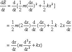
例题02-06-04-01 证明阻尼振动机械能的时间变化率dE/dt<0,并说明其意义。问当dE/dt=0时,是什么振动?


解:


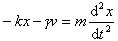
式中dx/dt=v,由阻尼振动的微分方程,有

将上式代入前式,得


这就是振子反抗阻力作功的功率,dE/dt<0, 表明阻尼振动的机械能随时间而减少。
  若dE/dt=0,则只有在γ=0的条件下才能发生,即振动是无阻尼的自由振动。