|
例题02-06-01-02一条长为l的细绳,上端 固定,下端悬挂以质量为m的很小重物,当悬线静止在铅直位置时,重物处于平衡位置O。若将重物从平衡位置移开而偏离铅直线某一角度 时释放,且不及空气阻力,它就在铅直平面内来回摆动。这种振动系统成为单摆。求证:当 角甚小时,单摆作简谐振动。
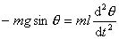
解: 设悬线无伸缩,故重物只能在以悬点 为圆心、长度l(简称摆长)为半径的铅直圆周上运动。今规定悬线绕 点循逆时针的转向为正向,则当重物在某一时刻位于图示的P点位置时,相对于铅直线 ,相应的角位移(这里也就是角坐标) 为正值,这时重物受重力W=mg和悬线的拉力T作用(空气阻力可忽略),其合外力的切向分量为

式中,负号表示力 的指向于规定的正方向相反,朝向平衡位置;当 <0
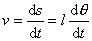
时,则力 为正,其指向与规定正方向相同,也朝向平衡位置。因此,在重物摆动过程中始终受到使它趋向平衡位置O的回复力 作用。重物运动到P点时,相对于平衡点O的路程为OP=s=l ,其切向速率为

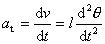
切向加速度分量为

按牛顿第二定律的切向分量式 ,有

或 (1)
将sin 展开为 的幂级数( 以弧度计),有
…
当 较小,且
时,可略去 的高次项,即
,代入式(1),得
(2)
可见,上式是满足简谐振动微分方程的。所以,单摆在摆角甚小时作简谐振动。
|