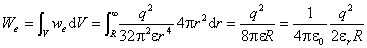
例题 04-11-07-01 设半径为=10cm的金属球,带有电荷,位于= 2的无限大均匀电介质中。求这带电球体的电场能量。 解:根据有电介质时静电场的高斯定理,可求得在离开球心为 (>) 处的场强为 该处任一点的电场能量密度为 如图所示,在该处取一个与金属球同心的球壳层,其厚度为,体积 ,拥有的能量为。整个电场的能量可用积分计算 代入已知数值,得
04-11-01-01 04-11-01-02 04-11-03-01 04-11-05-01 04-11-05-02 04-11-06-01 04-11-07-01 04-11-07-02