|
例题 04-11-03-02 设有面积为 的平板电容器,两极板间填充两层均匀电介质,电容率分别为 和 (如图),厚度分别为 和 。求这电容器的电容。
解:设两极板分别带上电荷+
、- ,在两层介质中的场强分别为 和 。根据有介质时静电场的高斯定理,由于电位移通量只与自由电荷有关,故可先求电场中的电位移 。为此,作高斯面,它是长方棱柱形的闭合面 ,其右侧表面在电容率 的介质内,左侧表面在导体极板内(图中虚线所示),板内的场强为零;上、下、前、后面的外法线皆与D垂直,其夹角θ=π/2,故 ·d =0;右侧面的外法线与 同方向,θ=0°,即
·d
= cos0°d = d 。则由

有 ,即 。再由 ,并因 与 同方向,故分别得
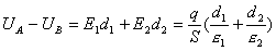
,
两极板间的电势差为

所求电容为

可见电容和电介质填充的次序无关;而且上述结果可以推广到两极板间含有任意层数的电介质中去。
|