 |
|
|
|
|
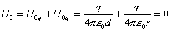
按题意,导体球接地,以地的电势为零,考虑到位于点电荷q的静电场中的导体是一个等势体,这样,球心的电势
亦应为零;而球心的电势 则等于点电荷q和球面上的感应电荷q′所激发的电场在点O的电势之代数和。据此即可求出解。 |
|
|
|
|
|
|
|
|
|
|
|
|
|
|
|
|
例题 04-11-01-01 如图,半径为 的接地导体球附近有一个静止点电荷 ,它与球心 相距为 ,求导体球表面上感应电荷 。
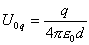
解: 点电荷 在球心 处的电势为

设 为球面上感应面电荷密度, 在球面上各点不尽相同(注意:对一个孤立的带电球形导体而言,其电荷是均匀分布在球面上的,即面电荷密度 处处相同。而今,导体球处于点电荷 的电场中,对球面上各点的感应电荷分布是不均匀的。)为此,可先在球面上任取一面积元 ,其上的感应电荷为
,它在球心 点的电势为
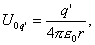
整个球面上的感应电荷 在球心 点的电势为
显然,
,上式成为
而球心 点的电势 为 与 之代数和,且其和应等于零,即
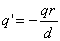
由此可得,导体球表面上的感应电荷q′为
|
|