|
例题 04-12-09 在图(a)所示的电路中,已知各电源的电动势分别为 , , ;而内阻分别为 。各个外电阻
、 、 。求a、b两点间的电压。
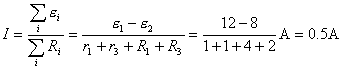
解 为了清楚起见,把图(a)画成图(b)。因a、b两点间是断开的,在aA和bB中无电流通过。因此,电流仅在CAEFBDC回路中流通,设其强度为I,并假定其流向如图所示。根据闭合电路的欧姆定律式(12-30)得:

电流I为正值,这表明所假定的电流流向与实际的电流流向是一致的。由于ACDB和AEFB两段电路上的电压是相同的(因为并联),所以我们取循行方向aACDBb或aAEFBb,根据一段含源电路的欧姆定律来求a、b间的电压,都可得到相同的结果,即

或


上述求得的电压为负值,表示终端b的电势高于始端a的电势。
注意 应用一段含源电路欧姆定律解题时,读者应把循行方向、电流流向和电动势指向在图上逐一标示出来,以免搞错它们的正、负。
|