例题 04-12-02 当5A的电流通过100 m长和温度为25℃的铜线时,铜线上的电势降落为2.4V。求铜线的横截面积。

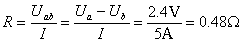
解 根据欧姆定律,电阻为:
查表12-1,铜在0℃时的 电阻率
           电阻温度系数

按式(12-10),可算得25℃时的电阻率为
            
             
             

于是,由公式(12-9) 得铜线的横截面积为