 |
|
|
|
|
在实际测量中,常用箱式电势差计,其工作原理与此相同。电势差计也可用来校正普通的电压表和电流表。
|
|
|
|
|
|
|
|
|
|
|
|
|
|
|
|
|
例题 04-12-07 电势差计的工作原理 电势差计(亦称电位差计)是精确测量未知电动势的一种仪器,它的线路如图所示。NF是一根粗细均匀的电阻丝,其电阻为R。 为提供电路中电流的电源电动势,它必须大于待测电源的电动势
和标准电池的电动势 在通常情况下能保持恒定)。G为电流计,其一端D可在NF上滑动,以改变ND段的电阻(计算时用 表示)。电路中的电流大小,借可变电阻 来调节。利用转换开关
,可以把标准电池 或待测电源的电动势 接入电路。
先将转换开关 掷向标准电池 ,移动触点D,调节到电流计G的指针不发生偏转,即通过电流计G中的电流为零,则A、D两点电势相等,这时电势差计达到平衡。设平衡时ND段的电阻为 ,电路NDFCEN中的电流为
,则此时电池的端电压就等于电动势,故有
(A)
接着,把 掷向待测电源,使 接入电路,以待测电源代替标准电池。重复上述操作,移动触点D,当D移到D′点时,电流计中的电流为零,而电路NDFCEN中的电流仍为 (为什么?)。读者可作同样的计算,而得
(B)
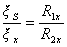
式中 为ND′段的电阻值。将式(A)和式(B)相除,得

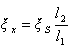
因NF是截面均匀的电阻丝,其电阻与长度成正比,设其单位长度的电阻为r;并设ND、ND′的长度分别为 、 ,则有 , ,把它们代入上式,并移项得

因为标准电池的电动势 已知,所以将测得的电阻丝长度之比 代入上式,便可求出待测电源的电动势 。由于在测试过程中, 不输出电流,所以这是一种测量电源电动势的精密方法。
|
|