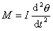
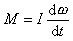
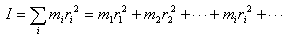
在刚体绕定轴转动时,刚体对轴的转动惯量I与角加速度之乘积在数值上等于刚体所受的合外力矩M(M,I都是对同一条轴而言的)。这一结论叫做刚体绕定轴的转动定律。其数学表达式为 或 转动惯量I是量度刚体转动惯性的物理量。刚体对某一轴的转动惯量I等于此刚体所有各质元的质量与它们各自到该轴距离平方的乘积之总和。即 一般刚体的质量可以认为是连续分布的,因此 转动惯量恒为正值;它的单位是 工程上还常用到与转动惯量有关的回转半径的概念,对于一任意形状的物体,设想它的全部质量m集中在一点上,若这个质量为m的"质点"对给定轴的转动惯量与物体对同一轴的转动惯量I相等,则这质点到轴的垂直距离,就叫做物体对该轴的回转半径,常用k表示。由于质量为m的质点与轴相距为k时的转动惯量等于
,当M一定时,I愈大,
就愈小,即愈难改变其角速度,或者说,刚体愈能保持其原来的转动状态;反之,I愈小,
就愈大。即愈易改变其角速度,亦即刚体愈易改变其原来的转动状态。
严导淦
《物理学》第三版
上册
高等教育出版社
程守洙
《普通物理学》
第一册
高等教育出版社
马文尉
《物理学》第四版
上册
高等教育出版社
张三慧
《大学物理》第二版
第一册
清华大学出版社
吴百诗
《大学物理》新版
上册
科学出版社
![]()
![]()
![]()
![]()
![]()
首页
| 后退
上一章
下一章
上一节
下一节
自学指导
![]()
本节导学
![]()
知识导航
![]()
典型例题
![]()
问题讨论
![]()
作业选解
01-05-03
刚体绕定轴的转动定理 转动惯量
![]()
转动定律是本章学习时必须掌握的重点内容。在转动定律
中,要注意在同一个问题中,M,I和
这三者都是对同一条轴而言的。
转动惯量I是刚体转动惯性的量度。
。它表述了刚体在合外力矩作用下绕定轴转动的瞬时效应,即某时刻的合外力矩将引起该时刻刚体转动状态的改变,亦即使刚体获得角加速度。当合外力矩为零时,角加速度也为零,则刚体处于静止或匀角速转动状态,若合外力矩为一恒量,则刚体作匀角加速转动(参见本节例题
01-05-03-01);若合外力矩时时变化,则刚体将作变角加速转动,即![]()
![]()
![]()
![]()
。几何形状简单,密度均匀(均质)的几种物体,对不同转轴的转动惯量,如转动惯量表所示,读者解题时,可直接查用。
,而它等于物体对同一轴的转动惯量I,故有
![]()
或 ![]()
回转半径的单位是m(米)