物体A下降,通过绳子拉着物体B沿桌面运动,这是依靠绳与滑轮间的摩擦力带动滑轮旋转而把绳牵引过去的。绳既受有滑轮的摩擦力,尽管是轻绳(忽略其质量),滑轮两侧的绳中张力是不会相等的。若将绳与滑轮作为一整体而隔离出来[图(c)],则张力对转轴的力矩的代数和就不等于零,这时,必须考虑滑轮的转动情况,需用刚体绕定轴的转动定律来求解。至于物体AB因各自作平动,故仍用质点力学方法来处理。

 

 

 

 

 
 
例题 01-05-03-01 如图(a)所示,两物体AB的质量分别为,用一轻绳相连,绳子跨过均质的定滑轮C,滑轮C对轴O的转动惯量为I,半径为r。若物体B与水平桌面间的滑动摩擦系数为,绳与滑轮之间无相对滑动,其他摩擦均不计,且物体A在下降,求系统的加速度a及绳中的张力

  解: 以地面为惯性参考系,在研究物体AB的平动时,取x,y轴,分别规定其正向如图(b),(d)所示;同时为了研究滑轮的转动,可预先选取逆时针转向为正。
  已知滑轮绕定轴转动,其角加速度为未知值,可姑且设它为正,即沿逆时针转向[图(c)]。滑轮所受的重力W和轴对它的支承力N均作用在滑轮中心处,对转轴的力矩都等于零,滑轮还受两侧的绳子张力的作用(滑轮与绳子可视作一整体),其方向如图(c)所示。
  物体A在重力和绳子拉力作用下[图(b)],铅直向下运动,其加速度未知,不妨设的方向铅直向下。
  物体B受重力,绳子拉力,桌面支承力N及滑动摩擦力作用,沿水平桌面运动,加速度也未知,设的方向水平向左,如图(d)所示。按牛顿第二定律和转动定律分别列出物体A,B和滑轮的运动方程:
            
            
            
且           
            
又             
再考虑运动学的关系:由于绳子长度可以认为无伸缩,故
又因滑轮的转动与物体A,B的平动并不是独立进行的,且因绳与滑轮之间无相对滑动,滑轮边缘上的切向加速度,故物体的加速度a在大小上相等,即
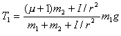
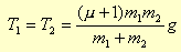
从以上各式联立解得:


讨论