若轴通过棒的一端,即
d
=
0
,则有
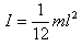
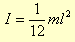
若轴通过棒的中心,即
则有
从本例可见,转动惯量与轴的位置有关,同一刚体,纵然它的质量及其分布恒定,但相对于不同的轴,转动惯量是不同的。所以在涉及到刚体的转动惯量时,必须指明是对哪一条轴而言的。
例题 01-05-03-03
如图,一质量为
m
、长为
l
的均质细棒,轴
Oz
通过棒上一点
O
并与棒长垂直,
O
点与棒的一端距离为
d
,求棒对轴
Oz
的转动惯量。
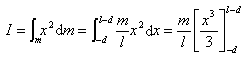
解: 在棒内距轴为
x
处,取长为
d
x
,横截面积为
S
的质元,它的体积为
d
V
=
S
d
x
,质量为
,
为棒的密度。对均质细棒而言,其密度为
。故此质元的质量为
按转动惯量定义,棒对
Oz
轴的转动惯量为
(
讨论
)
从上式可以求出通过棒中任一点的轴(此轴垂直于棒长)的转动惯量。例如,若轴通过棒的左端,即
d
=
0
时,得
若轴通过棒的右端,即
d
=
l
时,亦有
。
若轴通过棒的中心,即
d
=
l
/
2
,则得
式
,
的结果,均可在
表01-05-03-01
中查到。
01-05-03-01
01-05-03-02
01-05-03-03
01-05-03-04
01-05-03-05