 |
|
提示:首先要找出压力与制动摩擦力 之间的关系。压力P与支持力 对轴A的力矩代数和为零,即 
而 
故
,再由转动定律即可求解。
|
|
|
|
|
| |
| |
|
|
例题 01-05-03-05 如图( a),一鼓轮 C以角速度  循逆时针旋转,今用制动器(俗称"刹车")使鼓轮经 t秒钟后停止转动,问需在制动器杠杆(其质量忽略不计)一端 B处加多大的力 P?设鼓轮的半径为 r,质量为 m,可视作一均质圆盘; AB= a, AD= b,制动块D与鼓轮边缘间的摩擦系数为  。
|
|
|
解: 先把鼓轮C作为研究对象[图(c)],将它隔离出来,分析其受力情况:制动块对它作用的法向压力N和滑动摩擦力 (因制动过程中有相对滑动),重力W=mg以及轴承的支承力S(S可用等效的两个正交分力 , 表示)。
规定逆时针的转向为正,按转动定律列出鼓轮的运动方程为 |
|
|
式中, 为待求的角加速度,姑且假定为正值;又因N,W和S三力对转轴的力矩皆为零,故合外力矩为 。考虑到 ,故要求 时需求出N。 |
为此,再取杠杆为隔离体[图(b)],它受有外力P,鼓轮C对它作用的法向力 和摩擦力 及A端轴承对它的支承力R(用等效的两个正交分力 , 表示);由题设,杆的重力忽略不计,杠杆可绕A端的定轴在纸面上转动,制动时,可认为它的角速度和角加速度均为零,从而按转动定律,外力对轴A的力矩之代数和为零,即 |
|
|
根据牛顿第三定律, N和  是一对作用与反作用力,其大小为  ,由此可得
|

及 
|
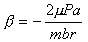
查转动惯量表,鼓轮绕中心轴的转动惯量为 ,将 与I代入式 ,得 |
|
|
式 右端各量都是恒量,故 亦为恒量,负值表明其方向与原来得假定相反,即 循顺时针转向,因此,鼓轮作匀减速转动,这里,初角速度为 ,末角速度 (因最后停止转动),则 |
|
|
t为所需的制动时间,由式 和 ,解得 |
|
|
| 可见,要求制动的时间越短,所需的外力P就越大。 |
|
|