对质点
A
,因在转轴上,故其对该轴的转动惯量为
0
。
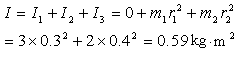
例题 01-05-03-02
三个质点
A
,
B
和
C
用轻杆(杆质量不计)相连,数据如图所示。设轴通过
A
点并与纸面垂直,求此系统对该轴的转动惯量
I
.
解: 该系统中的轻杆
AC
,
CB
,
BA
的质量不计,故可不考虑它们对轴的转动惯量;
A
处的质点就在轴上,与轴的距离为零,它对此系统的转动惯量没有贡献,即
;
B
和
C
处的质点分别对轴的转动惯量
和
为
于是,该系统对通过A点的轴之转动惯量
为
01-05-03-01
01-05-03-02
01-05-03-03
01-05-03-04
01-05-03-05