例题02-07-10-01如图所示,在绳上传播的入射波方程为
(SI)。
入射波在x=0处反射,反射端固定。设反射波不衰减,求驻波方程及波节和波腹的位置。
解:入射波在x=0处引起的振动为
(SI)
由于反射端固定,反射波在x=0处与入射波的相差是π(有半波损失),故反射波在x=0处引起的振动为
(SI) 反射波沿x轴正向传播,故反射波方程为
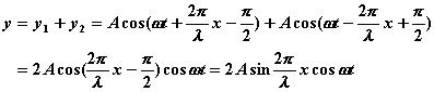
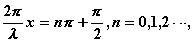
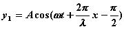
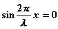
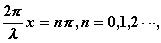
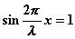
(SI) 合成的驻波方程为 当 ,即 时,为波节。波节位置为 当 ,即 时,为波腹。波腹位置为
02-07-01-01 02-07-02-01 02-07-04-01 02-07-04-02 02-07-04-03 02-07-05-01 02-07-09-01 02-07-10-01