例题02-07-02-01 声振动在固体中能够以纵波或横波的形式传播,而在气体和液体内,声振动只能以纵波的形式传播。并且,在固体介质中纵波的波速大于横波的波速。设地震波的纵波和横波在铁轨中的波速分别为5000m.s-1和3000m.s-1。今在铁道沿线的A处进行爆破工程,A就成了一个波源.地震波沿铁道路轨传到B处可用仪器记录下来。记录结果表明第二波列(横波)比第一波列(纵波)迟到4秒钟,试求A、B之间的距离。
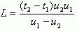
解:设A、B两处相距为L;纵波和横波的速度分别为
和
,传播的时间分别为
与
,则由

得

已知
,
=5000m·s-1,
=3000m·s-1,代入上式,得A、B
处相距为
