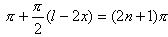
例题02-07-09-01位于A、B两点的两个波源,振幅相等,频率相等(都是100Hz),相位差为π,若两点相距30m,波速为400m/s,求:AB连线上静止点的位置。 解:考虑AB连线上距离A点为x的一点,两波分别由A、B点传到此的相位差为
两波叠加静止的条件是 ,因此有
按题设l=30cm,则由上式可解出
根据n为整数,0<x<30,得到静止点的位置为x= 1,3,5,……,29m。
02-07-01-01 02-07-02-01 02-07-04-01 02-07-04-02 02-07-04-03 02-07-05-01 02-07-09-01 02-07-10-01