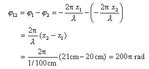
例题02-07-04-02 在例题 02-07-04-01中,求处两个质元振动的相位差。 解: 由式 在处两质元的振动分别比原点O落后一初相 由于同频率的两个振动,其相位差即为初相差,故两点的相位差为
说明 两点处质元振动的相位差为2π 的100倍,表明这两处质元的振动状态相同,即相位相同。其次要注意,为什么相距仅为1cm的两点,相位竟然相差200π这么大呢? 这是由于本题中的波长很小,仅有1/100cm,即在1cm内就包含有100个完整的波形。
02-07-01-01 02-07-02-01 02-07-04-01 02-07-04-02 02-07-04-03 02-07-05-01 02-07-09-01 02-07-10-01