01-04-03 碰撞就是两个或两个以上的物体在相遇的极短促时间内产生非常之大的相互作用力,而其他的相互作用力相对来说显得微不足道的过程。关于碰撞的实例和特征请看一段录相。从录相中我们可知:碰撞的最主要特点是:碰撞时间极短,作用力变化快和作用力峰值大等,因而其他外力可以忽略不计。如碰撞是对心碰撞,则系统满足动量守恒,即 请看一个弹性碰撞示例的动画。 成正比,比值e由两球的材料决定,即 2. 非弹性碰撞
这种碰撞被压缩的物体不能恢复原状而有一部分残留的形变,碰撞前后的系统的动能不相等,则称为非弹性碰撞。非弹性碰撞中0<e<1,分离速率小于接近速率,弹性碰撞中
e=1,分离速率等于接近速率。
如 e=0,
两小球在碰撞前的相对速度沿着两小球球心连线的碰撞
两物体碰撞后不再分离,以同一速度运动
严导淦
《物理学》第三版
上册
高等教育出版社
程守洙
《普通物理学》
第一册
高等教育出版社
马文尉
《物理学》第四版
上册
高等教育出版社
张三慧
《大学物理》第二版
第三册
清华大学出版社
吴百诗
《大学物理》新版
上册
科学出版社
![]()
![]()
![]()
![]()
![]()
首页
| 后退
上一章
下一章
上一节
下一节
![]()
本节导学
![]()
知识导航
![]()
典型例题
![]()
问题讨论
![]()
作业选解
碰撞
![]()
碰撞问题属于系统的动量守恒定律问题,因为系统的内力相对系统所受的其他作用力极大,而弹性碰撞和非弹性碰撞之分是与机械能守恒与否有关。
![]()
(1)
![]()
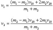
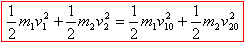
当两球相碰时相互作用的内力仅是弹性力,且在碰撞过程中,两球之间弹性势能与动能在相互转换着。碰撞除满足动量守恒定律外,碰撞开始和末了的动能之和相等,这种碰撞称为弹性碰撞。弹性碰撞过程一般可分为两个阶段,即压缩阶段和恢复阶段。弹性碰撞两物体的动能之和完全没有损失可表示为
(2)
由(1)和(2)得

![]()
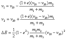
1. 恢复系数e
牛顿总结实验结果,提出碰撞定律:碰撞后两球的分离速率
与碰撞前两球的接近速率
(3)
e称为恢复系数。利用恢复系数e可以对碰撞进行分类。
,则属于完全非弹性碰撞。
(4)