 |
|
第一阶段:从子弹击中起,到子弹在中不再前进。该阶段子弹与靶发生完全非弹性碰撞,碰撞的结果子弹与木块具有共同的速度V,该阶段历时极短。靶受冲击但还来不及发生显著位移。故水平的x方向动量守恒。
第二阶段:子弹与靶一起摆动,直至摆到最高位置。把子弹、靶、地球看作一个系统,若略去空气阻力作用,该系统的外力只有绳子的张力.绳的张力与速度方向垂直,故不作功,所以该物体系统的机械能守恒。
|
|
|
|
|
| |
| |
|
|
例题 01-04-03-01.
一个质量为m的子弹沿水平方向以速度v射入铅直悬挂的靶内,设靶的质量为M
求子弹射入靶后,与靶一起摆动的最大高度h(见图)。
|
|
|
解答:
|
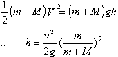
第一阶段:动量守恒

|
第二阶段:机械能守恒
由上式,解得最大高度为 |
|
|
|
|