例题 01-04-03-03
. 如图所示,质量
的子弹水平地穿过摆锤后,速度由
v
减少到
v
/2。已知摆锤的质量为
M
=
0.5kg
,摆长
l
=
0.81m
。若使摆锤恰能在铅直平面内作完全的圆周运动,求子弹速率
v
至少应多大?不计悬线质量和一切摩擦。
解: 在子弹射穿摆锤的过程中,以子弹与摆锤作为一系统,它除了在铅直方向受重力
W
=(
M
+
m
)
g
和摆线的拉力
T
以外,在水平方向不受外力作用,今取水平的
x
轴,则
,故系统沿
x
轴方向的动量守恒,即
(1)
其中,
V
为子弹穿出摆锤时摆锤所获得的速率。继而,摆锤以悬挂点
O
为圆心、摆线长
l
为半径作铅直圆周运动,在摆锤自最低点
L
到达最高点
H
的过程中,取摆锤与地球为系统,它受重力
W
=
M
g
(保守性内力)和摆线拉力
T
(系统的外力)作用,在上述运动过程中,拉力
T
处处垂直于位移,故不作功。从而满足
,
,则系统的机械能守恒,即
式中,
为摆锤在最高点
H
时的速率,且
>
0
;若此时
=
0
,就不可能完成圆周运动。当摆锤在最高点
H
时,受绳子拉力
T
'
和重力
W
=
M
g
作用,其合力充当了向心力的角色。显然,这个合力的瞬时效应是使摆锤在该处产生一个向心加速度
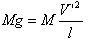
,以维持摆锤通过最高点而能继续循圆周运动。按牛顿第二定律的法向分量式,有
(2)
若此时绳子的拉力为
T
'
=0,则相应的摆锤速率
就是摆锤完成圆周运动的最小速率,即
(3)
对式
(1)(2)(3)
联立求解,并代入已知数据,便可算出子弹速率至少为
01-04-03-01
01-04-03-02
01-04-03-03