第一阶段: 锤从高处处落下到桩头上,该阶段锤和地球组成的系统机械能守恒。

  第二阶段: 锤与桩碰撞后速度立即降低,直到跟桩的速度相等为止,锤与桩的系统发生完全非弹性碰撞。

  第三阶段: 锤、桩以共同的初速v,在岩土阻力R作用下,在岩土中下降阶段,岩土阻力做负功,锤和桩组成的系统动能减少。 
 

 
 
例题 01-04-03-02. 打桩机的铁锤质量为、落高为,桩的质量为,落锤一次使桩下沉的位移为d,且锤不反弹,求桩下落过程中所受到的岩土平均阻力R
 
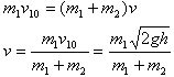
解答:第一阶段:由机械能守恒定律
第二阶段:由动量守恒定律
第三阶段:由动能定理

(通常,R大得多,所以上式左边第一项远小于第二项,可以忽略不计。)

01-04-03-01
01-04-03-02
01-04-03-03