01-04-02 本节讨论了多个质点组成的系统的动量定理和动量守恒定律。要注意动量定理和动量守恒律的表达式都是矢量式。 设这两个物体在时刻 上式不难推广到由几个物体所组成的系统,这时有 或写作
系统内各个质点的动量之矢量和,即:
![]()
![]()
严导淦
《物理学》第三版
上册
高等教育出版社
程守洙
《普通物理学》
第一册
高等教育出版社
马文尉
《物理学》第四版
上册
高等教育出版社
张三慧
《大学物理》第二版
第一册
清华大学出版社
吴百诗
《大学物理》新版
上册
科学出版社
![]()
![]()
![]()
![]()
![]()
首页
| 后退
上一章
下一章
上一节
下一节
![]()
本节导学
![]()
知识导航
![]()
典型例题
![]()
问题讨论
![]()
作业选解
系统的动量定理
动量守恒定律
![]()
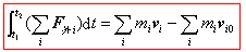
系统内各质点间相互作用的内力不会引起系统动量的改变,系统总动量的改变完全由所受外力矢量和的冲量来决定,这一结论称为系统的动量定理.即:
示例:我们先研究两个质量分别为
和
的物体组成的系统。
开始相互作用,其速度分别为
、
;在时刻
,相互作用结束时,速度分别为
、
。在相互作用的时间
内,这两个物体可视作一个系统,它们除相互作用的内力
、
外,还分别受有合外力
、
的作用。对系统内每一物体应用质点动量定理,得
![]()
![]()
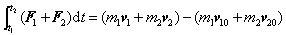
将上两式相加,得:
![]()
因为牛顿第三定律,系统内力
,对整个系统而言
。于是,上式成为
![]()

这就是系统的动量定理的表达式(1)
注意:系统内各个质点动量的变化,不仅是由该质点所受合外力的冲量引起,而且内力的冲量也有贡献,但对整个系统来说,系统的动量定理成立。
![]()
若在一定的过程中,系统所受外力之矢量和等于零或完全不受外力,即满足:
的条件,则由公式(1),有如下的矢量式,即

=恒矢量
上式表明,如果系统不受外力或所受外力之矢量和为零,那么,系统的动量保持不变,这个结论称为动量守恒定律。
关于动量守恒定律,应当明确以下几点:
2. 动量是矢量,系统的动量是指系统内所有质点的动量之矢量和,而一般不指代数和。注意系统不受外力的情况下,尽管系统的动量恒定不变,但系统内各质点的动量却可能各自不断的改变。
![]()
有时,当我们分析系统所受的外力时,得出系统所受外力之矢量和并不等于零,但外力在某一方向(例如x轴方向)的分量之代数和为零,即:
则系统的动量不守恒,但系统动量在该方向(x方向)的分量却是守恒的。即
这一结论称为沿某一方向的动量守恒定律。请看示例。