|
电流的强弱可用电流强度这一物理量来描述。设在导体上任取一截面(如下图12-2所示的截面S),如果在△t时间内,流过这个截面的电荷为△ ,则通过这截面的电流 强度(简称“电流”)定义为
(12-1)
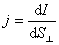
亦即,通过已知截面的电流强度I是单位时间内通过这个截面的电荷量。如果通过该截面的电流强度是随时间而变的(例如交流电),则可用如下的瞬时电流强度来表示电流的强弱,即
(12-2)
电流强度是标量。在国际单位制中,规定电流强度为基本量,单位为A(安培,简称安)。我们把1s内通过导体任一截面的电荷为1C的电流强度称为1A,即

电流强度I 所表述的是导体中整个截面上的电荷通过率,它不能反映出导体中各点的电荷运动情况,为此,需引入电流密度 这个矢量来描述。如左图所示,在通有电流的导体中,任一点的电流密度 ,其大小可规定如下:设在导体内某点P处,取一微小的面积元 ,使它与点P的正电荷运动方向相垂直。如果通过 的电流强度为 ,则在该点处垂直于电流流向的单位面积上通过的电流强度,就是该点处电流密度的大小 ,即
(12-3)
电流密度的单位是 (安每平方米)。其次,我们规定导体中各点的电流密度方向与该点的场强 的方向相同。
现在我们来讨论通过导体上某一截面(不论它是曲面或平面)的电流强度I与该截面上各点电流密度 之间的关系。

前面已经说过,在金属导体中,大量自由电子在电场的影响下,逆着电场方向作定向漂移运动,形成了传导电流可以推想,倘若导体中自由电子的数目越多,并且作定向运动的平均速率越大,则电流密度也就越大。下面我们可以给出它们之间的定量关系。
|