|
几列波在同一介质中传播时可能发生干涉现象,本节讨论干涉现象的原理和主要结论。

当几列波同时在一种介质中传播时,每列波的特征量如振幅、频率、波长、振动方向等,都不会因为有其他波的存在而改变。例如,从两个探照灯射出的光波,交叉后仍然按原来方向传播,彼此互不影响。乐队合奏或几个人同时谈话时,声波也并不因在空间互相交叠而变成另外一种什么声音,所以我们能够辨别出各种乐器或各人的声音来。波的这种独立性,使得当几列波在空间的某一点相遇时,每列波都单独引起介质中该处质元的振动,并不因其他波的存在而有所改变,因此该质元实际的振动就是各列波单独存在时所引起该质元的各个振动的叠加。这就是波的叠加原理。
| 对于机械波,介质中的某一质元在任一时刻振动的位移,是各列波单独存在时在该处所引起的振动位移的矢量和,这称为机械波的叠加原理。这一原理可推广到电磁波和德布罗意波等波动现象,对于电磁波等非机械波现象,波的传播不一定需要介质,所研究的物理量一般也不是位移。 |
一般地说,振幅、频率、相位等都不同的几列波在某一点叠加时,情形是很复杂的。如果两列波满足相干条件,即当两列波频率相同,振动方向一致,波源之间有恒定的相位差时,我们称之为相干波。在相干波的重叠区域内,介质中某些地方的振动很强,而在另一些地方的振动很弱或完全不动。这种现象称为波的干涉。
你有兴趣了解相干波的产生方法吗?

现在讨论在空间某点P发生干涉加强或减弱的条件。波的干涉计算用图如下图所示。
设有两个相干波源,位于 和 点,它们的振动表达式分别为

这两个波源发出的波在空间任一点P相遇时,P点上的质元振动可根据波的叠加原理来计算.设P点离开 和 的距离分别为 和 ,并设这两列波到达P点时的振幅分别变为 和 ,则P点参与的两个同方向、同频率的分振动分别为


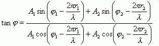
式中, 为波速.按上一章02-06-06节的同方向、同频率振动的合成公式,可得P点的合振动表达式为



在上述合振动振幅 的表达式中,两列相干波在P点引起的两个分振动的振幅 、 均已给出,故P点的合振动振幅 取决于两个分振动的相位差 ,即

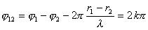
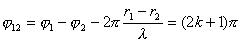
其中, 即为两个相干波源的相位差,它是恒定的;而对空间任一点来说,它与两个波源的距离 、 不变,即 也是确定的,所以 为一恒量.这就表明,每一点的合振幅 亦是恒量,其量值则取决于该点在空间的位置(由 确定)。若空间某点适合下述条件:

则该点合成振动的合振幅最大, ,即干涉加强;若空间某点适合下述条件:

则该点合振动的合振幅最小, ,即干涉减弱.如果 (即初相相同,这在光学中常遇到),则上述条件可简化为


表示两列相干波同时从波源 和 出发而到达P点时所经过的路程之差,称为波程差。所以上列两式表明,当两列相干波在空间叠加时,若波源振动的相位相同,则在波程差等于零或等于波长的整数倍的各点振幅为极大(干涉加强);在波程差等于半波长的奇数倍的各点,振幅为极小(干涉减弱)。
|