第十二章 第五节 电功率 焦耳定律
  首页 | 后退
   上一章  下一章  上一节  下一节      
  自学指导
本节导学
知识导航
典型例题
问题讨论
作业选解

§04-12-05

电功率 焦耳定律





焦耳

J.P.Joule

(1818.12-1889.10)

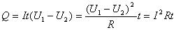
  我们在静电学中讲过,当电荷自高电势处移向低电势处的过程中,电场力所作的功为

                         (A)

这一关系对于导体中的稳恒电场仍然是正确的。如右下图所示,设有一段电阻为R的导体AB,依靠外电源维持其两端的电压-不变,则导体中便建立起稳恒电场,相应地通有电流,因而在时间内,从A端向B端移动的电荷为=,于是由式(A),电场力所作的功为

       
(12-13)

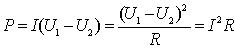
  电场力在单位时间内所作的功,称为电功率,以表示。显然,=/。 由式(12-13),并利用欧姆定律,可得出电功率P的不同形式的表达式

         (注意)   (12-14)

  电场力所作的功,其单位仍是J(焦)。它等于两端电压为1V的导体中通有1A的电流时,电场力在1s内所作的功,即1J=1A×1V×1s电功率的单位是W(瓦)或 V·A(伏安)

  当导体通有电流时,温度会升高,这就是电流的热效应。 由功、能关系可知,放出的热量在数值上就等于电场力所作的功。 因而,由式(12-13) 可知,在t 秒内,导体放出的热量为

              (12-15)

即在一段导体中通有电流时,放出的热量分别与电流强度的平方、导体的电阻和通电流的时间三者成正比。这一结论称为焦耳定律(焦耳人物介绍)。这放出的热量常称为焦耳热。(焦耳定律在实际中的应用)