|
在实际应用中,常会遇到手头现有的电容器不适合于我们的需要。如电容的大小不合用或者是打算加在电容器上的电势差(电压)超过电容器的耐压程度(电容器所能承受的电压)等,这时可以把现有的电容器适当地连接起来使用。
当几只电容器互相连接后,它们所容纳的电荷与两端的电势差之比,称为电容器组的等值电容。
电容器连接的基本方法有串联和并联两种,现分述如下:
设有 n 只电容器,电容分别为 ,串联的方法如右下图所示。这里,每一只电容器的每一极板都只和 另一只电容器的一个极板相连接。把电源接到这个组合体两端的两个极板上进行充电,使两端的极板上分别带正、负电荷 和 ,并由于静电感应,每个电容器的两极板上亦分别感应出等量异种电荷
与 ,如图所示。
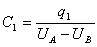
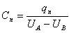
令电路上 各点的电势分别为 ,因为电容器的电容不受外界影响,串联后每一只电容器的电容都和其单独存在时一样,所以我们对这个电容器组的每一只电容器单独考虑时,有如下的关系
,
,… ,
把以上各式相加,得
现在我们把这一个电容器组当作为一个整体来看,它所储蓄的,也就是可资使用的电荷,只是两端极板上的电荷 ,这两端极板的电势差是 。所以这一组合的等值电容 为
或
(6a)
这就是说:串联电容器组的等值电容的倒数,等于各个电容器电容的倒数之和。这样,电容器串联后,使总电容变小但每个电容器两极板间的电势差,比欲加的总电压小,因此电容器的耐压程度有了增加。这是串联的优点。
电容器的并联方法如右下图所示。这里,各个电容器的一块极板都连接在同一点 上,另一块极板都连接在另一点 上。接上电源后,每一 只电容器两极板的电势差都等于 、 两点间的电势差 ,各个电容器极板上的电荷大小分别为 。对各个电容器来说,有

,…,
把这一个组合作为一个整体看,它可资用的电荷是

而其电势差是 ,因此这一组合的等值电容 为
或
(6b)
所以,并联电容器组的等值电容是各个电容器电容之总和。这样,总的电容量是增加了,但是每只电容器两极板间的电势差和单独使用时一样,因而耐压程度并没有因并联而改变。
以上是电容器的两种基本连接方法。实际上,还有混合连接法,即串联和并联一起用。(其他式样)
|