第十一章 第七节 电场的能量
  首页 | 后退
   上一章  下一章  上一节        
  自学指导
本节导学
知识导航
典型例题
问题讨论
作业选解

§04-11-07

电场的能量



家用电热器

(公元 1913 年)

  任何带电过程都是正、负电荷的分离过程。在带电系统的形成过程中,外力必须克服电荷之间相互作用的静电力而作功,因此带电系统通过外力作功而获得一定的能量,这能量是从外界能源传递给这一带电系统的。带电系统形成后,根据能量守恒定律,外界能源所供给的能量必定转变为这带电系统的电能。电能在数值上等于外力所作的功,所以任何带电系统都具有一定值的能量。

  为了确定一个带电系统所储藏的能量,我们先研究系统带电过程中外界能源所作的功。设某一系统在带电过程中的某一时刻的电势为,如果再从无限远处将的电荷移到该系统上而使它的电荷增加,则外力所作的元功是

                      (←鼠标指向有说明)

这一系统在电荷由零逐步地达到值的整个带电过程中,外力所作的总功应是

                     

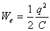
上述外力所作的功都转变成带电系统储藏的能量。以 表示带电系统的能量,则

                                  (7a)

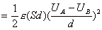
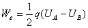
如图所示,若带电系统是一电容器,它的电容是。设想电容器的带电过程是这样的,即不断地从原来中性的极板B上取正电荷为右图(a)到极板A上,而使两极板A和B所带的电荷分别达到 ,这时两板间的电势差

       

[右图(c)]。在上述带电过程中的某一时刻,设两极板已分别带电到,且其电势差为/C[右图(b)]若从板B再将电荷+d移到板A上,则外力作功为

         

在极板带电从零达到值的整个过程中,外力作功为

      

这功便等于带电荷为的电容器所具有的能量 ,即

                                 (7b)

根据电容器电容的定义式,上式也可写成:

                            (7c)


                             (7d)

不管电容器的结构如何,这一结果对任何电容器都是正确的。



  上面我们说明带电系统在带电过程中如何从外界获得能量。现在我们进一步说明这些能量是如何分布的。

  实验证明,在电磁现象中,能量能够以电磁波的形式和有限的速度在空间传播,这件事证实了带电系统所储藏的能量分布在它所激发的电场空间之中,即电场具有能量。电场中单位体积内的能量,称为电场的能量密度。现在以平板电容器为例,导出电场的能量密度公式。今把代入式(7c) 中,得:

        
           

这就是电场的能量。式中是电容器两极板间的电场强度是两极板间的体积,亦即电场的体积;所以
       
                  (7e)

由于平行板电容器中的电场是均匀的,所以将电场能量除以电场体积,即为电场的能量密度,故由上式得

                                (7f)

上述结果虽从均匀电场导出,但可证明它是一个普遍适用的公式。也就是说,在任何非均匀电场中,只要给出场中某点的电容率、场强(或电位移 =),那么该点的电场能量密度就可由上式确定。

  因为能量是物质的状态特性之一,所以它是不能和物质分割开的。电场具有能量,这就证明电场也是一种物质