|
静电场中某点的电势,在数值上等于放在该点的单位正电荷的电势能,亦即,等于单位正电荷从该点经过任意的路径移到无限远处电场力所作的功,即
(11a)
所以,电势是一个标量。在静电学中,任意两点a和b的电势之差称为电势差 (在电路中两点的电势差也称为电压),用 或 表示。根据电势的定义, 、 两点的电势分别为
,
因此, 、 两点的电势差为

即
(11b)
或写作
(11c)
即静电场中 、 两点的电势差,等于单位正电荷从点 经过任意路径移到点 处电场力所作的功。因此,任一个点电荷 在电场中从点 移到点 ,电场力所作的功 可用电势差 表示为
(11d)
式中 与 分别为电荷 在电场中始点 和终点 所具有的电势能。因此,上式的物理意义是:电场力所作的功等于电势能之差。这是电学中的一个重要公式。
电势的单位是V,称为伏特,简称伏。电势差(或电压)的单位与电势的单位相同,也是V(伏)。
(1)点电荷电场中的电势
(11e)
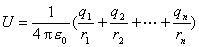
(2)点电荷系电场中的电势
(11f)
或
即
(11g)
上述结果称为电势叠加原理:即点电荷系的电场中某点的电势,等于各个点电荷的电场在该点电势之代数和。
如果场源电荷在有限区域内是连续分布的,可将它分成无限个电荷元 (均为点电荷),将式(11g)的求和改为求
积分,就可求得电场中某点 处的电势
(11h)
式中, 为 到某一场点P的距离,积分号下的 表示对整个场源电荷分布的区域(例如带电体)求积分。
|