力矩的功 刚体定轴转动的动能定理

  
  首页 | 后退
   上一章  下一章  上一节        
  自学指导
本节导学
知识导航
典型例题
问题讨论
作业选解

    01-05-05
    力矩的功
刚体定轴转动的动能定理


  从功,能观点研究刚体的运动,是解决刚体动力学问题的一种重要方法,学习本节要注意和质点的功,质点的动能,质点的动能定理相比较,加深理解。


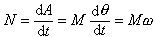
  当一个刚体在外力的作用下绕定轴转动而发生角位移时,我们就说力矩对刚体作了功,即

当刚体在力矩作用下转过角时,合外力矩对刚体所作的功为:

如果M为恒力矩,则上式中M可从积分号内提出,即:

按功率的定义,可得力矩的瞬时功率为:

即力矩对转动刚体所作的功,其瞬时功率等于力矩与角速度之乘积。力矩的功,其单位仍是J(焦耳)。


 1.转动动能:刚体以角速度绕定轴O转动时,体内各质元具有不同的线速度。如图1所示,设其中第i个质元的质量为,与轴O相距为,其线速度大小为,其动能为

图1

 

 

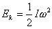
整个刚体的转动动能就是刚体内所有质元的动能之和,即

式中,为刚体对轴的转动惯量I,故上式可写成。它表示刚体绕定轴的转动动能等于刚体对此轴的转动惯量与角速度平方之乘积的二分之一。将物体的转动动能与平动动能相比较,也可以看出物体的转动惯量I对应于物体平动时的质量m
   2.动能定理: 刚体定轴转动的动能定理可表述为:合外力矩对刚体所作的功等于刚体转动动能的增量。即
                             (1)
  动能定理可推广到绕定轴转动的刚体与其他质点所组成的系统。这时,式(1)可写成,这里,A表示作用于系统所有外力(及外力矩)作功的代数和;分别表示系统在始、末状态的总动能(即系统内所有的刚体转动动能和质点平动动能之和)。