01-05-01
严导淦
《物理学》第三版
上册 P.266-279
高等教育出版社
马文尉
《物理学》第四版
上册 P.108-113
高等教育出版社
程守洙
《普通物理学》第五版
高等教育出版社
张三慧
《大学物理》第二版
清华大学出版社
吴百诗
《大学物理》新版
科学出版社
![]()
![]()
![]()
![]()
![]()
首页
| 后退
上一章
下一章
下一节
![]()
本节导学
![]()
知识导航
![]()
典型例题
![]()
问题讨论
![]()
作业选解
刚体的平动
刚体绕定轴的转动
![]()
本章研究的对象是刚体,它是实际物体的一种模型,即在外力作用下不发生形变的理想模型。在实际问题中,在一定条件下,把复杂的具体的物体抽象为一个简单的理想模型,这是自然科学中常用的研究方法。
![]()
(1)刚体平动的特征
刚体作平动时,体内各点的轨道都是一样的。这就是刚体平动的特征。如下图所示。
(2)刚体平动的运动学和动力学方程
刚体平动时,体内各点在任意一段时间内的位移以及任一时刻的速度和加速度都分别相等.一句话,刚体平动时各点的运动情况相同.所以 刚体内任一点的运动都能代表整个刚体的运动.这样,我们也就可以用前述的质点运动学和动力学知识,来解决刚体的平动运动学问题及动力学问题.设m为刚体的总质量,a为刚体中任一质元的加速度,可写出刚体的动力学方程为
它与单个质点的运动方程具有相同的形式。
![]()
(1)刚体绕定轴转动的特征
刚体运动时,如果刚体内各个质元都绕同一直线作圆周运动,这种运动称为刚体的转动;这一直线称为轴。例如机床飞轮的转动,电动机的转子绕轴旋转,旋转式门窗的开、关,地球自转等等都是转动。如果轴相对于我们所取的参考系(如地面
)是固定不动的,就称为刚体绕固定轴的转动,简称定轴转动.刚体作定轴转动时,具有如下特征:
①刚体内轴上所有各点都保持固定不动。
②刚体内不在轴上的其他各点,都在通过各该点、并垂直于轴的平面内绕轴作圆周运动,圆心就是这些平面分别与轴的交点,半径就是各该点与轴的垂直距离。
③刚体内各点在同一时间内转过的圆弧长度是不同的.但各点在同一时间内绕轴转过的角度是相等的。且各点的角速度和角加速度亦相同。因为刚体内各点之间的相对位置是不随刚体转动变化的。所以,我们可用角量来描述整个刚体的运动。
(2)刚体定轴转动的运动学
①. 角坐标
设刚体绕z轴转动,如下图所示,为了确定刚体在任一时刻的位置,取垂直于轴的任一平面作为参考平面,它与轴交于O点。并在该平面内取某一固定直线OA,作为计量角坐标的参考位置。任意时刻t,在刚体上取点P,由原点O到点P的距离OP与参考轴OA之间的夹角可确定刚体在任一时刻的方位,故
称为刚体的角坐标。一般以点P沿逆时针方向转动的角坐标为正,反之为负。
②. 角位移
刚体转动时,角坐标随时间而变动,它是时间t的单值连续函数,即
=
(t),这个函数关系称为刚体绕定轴转动的转动方程.从刚体转动的上述运动方程出发,我们可引用一些角量来描述刚体定轴转动的运动状态及其改变情况。仿照质点运动学的定义,相应地,我们定义刚体在时间
内的角位移为
=
(t十△t)一
(t)
为刚体在时刻t的角坐标,
(t十△t)
为时刻t十△t的角坐标,角位移△
描述刚体在
时间内的位置变动。
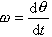
③角速度
定义t时刻的角速度为
![]()
角速度
描述刚体的运动状态.角速度是一个矢量,它的方向用右手螺旋法则确定,如下图所示。
工程上常用每分钟转数表示机器的角速度,记作n,单位为
.则与n的关系为

当刚体作匀角速转动时,角速度是恒量.如果刚体作变角速转动,则可用角加速度
来描述其运动状态的改变.角加速度
定义为
![]()
又因
,上式还可写成
![]()
通常规定:刚体绕轴的逆时针转向作为正的转向.这样,刚体作逆时针转动时,角坐标
、角位移Δ
、角速度
皆取正值;而作顺时针转动时,它们都取负值.其次,当刚体作加速运动时,角加速度
与角速度
同号;作减速运动时,与
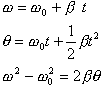
异号,当刚体绕定轴作匀变速转动时,按上述有关定义式及初始条件,可导出类似于匀变速直线运动的三个公式:
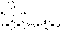
前面说过,刚体作定轴转动时,其上各点都在作圆周运动.若其中某点到轴的距离为r,则其速度、法向加速度和切向加速度等线量和角量关系分别为

上述各式表示描述整个刚体转动的角量与描述刚体内任一点作圆周运动的相应线量之关系.