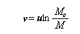
现在我们应用动量守恒定律来讨论火箭的运动。请看火箭飞行原理的录像解析。从录像解析可知,火箭运行满足如右图所示的动量守恒定律,即
![]()
![]()
![]()
![]()
![]()
首页
| 后退
上一章
下一章
上一节
自学指导
![]()
本节导学
![]()
知识导航
![]()
典型例题
![]()
问题讨论
![]()
作业选解
01-04-05
火箭的飞行![]()

火箭问题属于系统内质量发生移动时,系统内各部分的质量,速度及动量相应发生变化的问题,火箭在高空飞行中,忽略空气阻力时,系统动量守恒。
严导淦
《物理学》第三版
上册
高等教育出版社
程守洙
《普通物理学》第五版
第一册
高等教育出版社
马文尉
《物理学》第四版
上册
高等教育出版社
张三慧
《大学物理》第二版
第一册
清华大学出版社
吴百诗
《大学物理》新版
上册
科学出版社
火箭是依靠火箭发动机推进的飞行器。火箭运行过程中是火箭内部的燃料发生爆炸性的燃烧,产生大量的高温、高压气体,这些气体从火箭的尾部沿与火箭运动相反的方向射出,使火箭得到反冲力而向前飞行的,因此,火箭在飞行时,不需要依赖外力作用,可以在空气稀薄的高空甚至宇宙空间飞行。
![]()
将该定理式化简,略去二阶无穷小量
,得
![]()
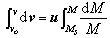
![]()
如果令
,则
![]()
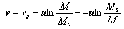
由于
与
的方向相反,如选用
的方向为x轴的正向,则上式可写成

式中
叫做质量比。由上式可以看出,质量比越大,获得的速度越大。上式可以写成
![]()
这就是说,要提高火箭的速度,就要尽量加大气体排出速率
和提高质量比
,但提高质量比在技术上是有很多困难的。所以在设计火箭时,为了获得很大的速度,一般采用多级火箭,多级火箭在飞行过程中,第一级火箭先点火,当第一级火箭燃料用完后,使其自行脱落,这时,第二级火箭便开始工作,余此类推,如右图动画所示。