例题 01-04-05-01. 一火箭铅直向上发射。它每秒钟排出的气体质量恒为,其中是火箭最初的质量,火箭排出的气体相对于火箭的速率为。求发射10s后火箭的速度和高度。重力忽略不计。

解: 随着火箭向上发射,气体不断排出,火箭的质量在变化。火箭发射10s后其质量为

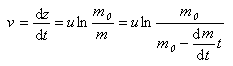
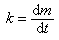
略去重力和空气阻力,火箭发射10s后的速率为

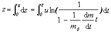
  取Oz轴的正方向铅直向上,原点在发射处,则有
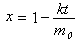
则   
            
             

01-04-05-01