1. 设杆长为l,质量为m,因杆为均质,即杆的质量均匀分布,每单位长度的质量为 ,称为质量线密度。

2. 在上述以杆的中心为原点的坐标系中,若将杆分成许多质量相等的质元,在坐标处有一质元,则由于对称,在坐标为-处必有一个质量相同的质元,因而求和时,相应两项之和为

,其它每一对的对称质元都是如此,则总和 ,故有

根据这种“对称性”分析的方法可以证明,质量均匀分布,几何形体对称的物体,其质心必在其几何中心上。例如,匀质圆环或圆盘的质心在圆心上,匀质矩形板的质心在对角线上的交点上。

 
 
   

例题 01-04-04-04. 求证:一均质杆的质心位置C在杆的中点。

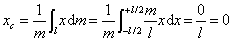
证:
如图所示,沿杆长取x轴,原点O选在杆的中点,在坐标为x处取长为dx的质元,其质量为dm 。按质心位置坐标的公式



得       

即杆的质心在杆的中点。