例题 01-04-04-03
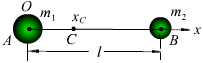
如图所示,相距为
l
的两个质点
A
,
B
,质量分别为
,
。求此系统的质心。
解:沿两质点的连线取
x
轴,若原点
O
取在质点
A
处,则质点
A
,
B
的坐标为
=
0
,
=
l
,按质心的位置坐标公式
质心
C
的位置坐标为:
质心
C
到质点
B
处的距离为
从上两式可得:
即质心
C
内分两质点的距离,这两段距离与两质点的质量成反比。可见,对给定的系统而言,其质心具有确定的相对位置 。
01-04-04-01
01-04-04-02
01-04-04-03
01-04-04-04
01-04-04-05