自行车行驶时,人踏脚蹬,通过链条带动后轮转动,使后轮相对于地面的接触点有向后滑动的趋势,从而地面对后轮作用着向前的静摩擦力,前轮是被动轮,由其转轴推动而向前滚动,相对于地面的接触点有向前滑动趋势,从而地面对它作用着向后的静摩擦力 ,将人和车看作一个系统,人与脚蹬的相互作用力是内力,不影响质心的运动,并不能直接驱动自行车前进。

 
 
例题 01-04-04-02. 一人骑自行车在水平面上行驶,设空气阻力不计,求自行车获得的加速度。
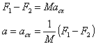
解:对人与车组成的系统,其所受外力除在垂直方向受重力和路面支承力外,还有水平方向上地面对车轮的摩擦力 , ,沿水平方向取x轴,设车与人的总质量为M,则按系统质心的运动方程沿x轴分量,有