本题也是一道计算磁场能量的典型例题。
例题 04-15-08-02
设电流
I
均匀地通过一半径为
R
的无限长圆柱形直导线的横截面,
(1)求导线内的磁场分布;
(2)求证:每单位长度导线内所储存的磁场能量为
。
题解
证明
解:
电流
I
均匀地分布在无限长圆柱形直导线的横截面上,通过导线横截面的电流密度为
电流的分布具有轴对称性。今在圆柱形直导线内取逆时针绕向、半径
的同轴圆形环路,按安培环路定理,有
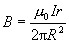
由此得圆柱形直导线内的磁场分布为
(
r
<
R
)
04-15-01-01
04-15-02-01
04-15-02-02
04-15-02-03
04-15-03-01
04-15-03-02
04-15-03-03
04-15-03-04
04-15-04-01
04-15-04-02
04-15-04-03
04-15-05-01
04-15-05-02
04-15-06-01
04-15-06-02
04-15-06-03
04-15-08-01
04-15-08-02