这是一道计算磁场能量的典型例题。该题分别用磁场能量密度积分的方法和自感磁能的计算方法,计算了同轴电缆磁场的能量。
例题 04-15-08-01
设有一电缆,由两个无限长的同轴圆筒状导体所组成,其间的介质情况可不考虑,内圆筒和外圆筒上的电流流向相反而强度
I
相等。设内、外圆筒横截面的半径分别为
和
,试 计算长为
的一段电缆内的磁场所储藏的能量。
分析
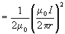
解法一
解法二
解法一
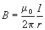
根据安培环路定理可得,在内、外两圆筒之间的区域内离开轴线的距离为
处的磁感强度为
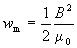
在该处的磁场能量密度为
在半径为
与
、长为
的两个圆柱面所组成的体积元
d
V
内,磁场的能量为
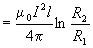
对上式积分,可得内、外圆筒之间磁场内储藏的总磁能
04-15-01-01
04-15-02-01
04-15-02-02
04-15-02-03
04-15-03-01
04-15-03-02
04-15-03-03
04-15-03-04
04-15-04-01
04-15-04-02
04-15-04-03
04-15-05-01
04-15-05-02
04-15-06-01
04-15-06-02
04-15-06-03
04-15-08-01
04-15-08-02