这是一道利用互感现象计算直导线(回路)感应电动势的基本例题。
例题 04-15-06-03
一矩形截面螺绕环,内外半径分别为
a
和
b
,厚度为
h
,匝数
N
,过环心插有一长直导线,如图所示。当螺绕环中电流变化时,求长直导线中的感应电动势。
分析
解法一
解法二
讨论
解法二
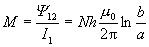
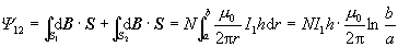
: 本题也可先求出载流螺绕环穿过长直导线回路的磁通量
,再由互感系数公式
,求出互感
M
。
首先,假设长直导线本身就是一个很大的闭合回路中的一部分,只是此闭合回路的其它部分离螺绕环很远,它们彼此之间的相互影响可忽略不计。
取直导线经过的
O
点为坐标原点,长直导线回路所围面积为
,螺绕环的截面积为
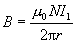
,螺绕环产生的磁场是
它穿过长直导线回路的磁通量为
则两回路之间的互感系数为
04-15-01-01
04-15-02-01
04-15-02-02
04-15-02-03
04-15-03-01
04-15-03-02
04-15-03-03
04-15-03-04
04-15-04-01
04-15-04-02
04-15-04-03
04-15-05-01
04-15-05-02
04-15-06-01
04-15-06-02
04-15-06-03
04-15-08-01
04-15-08-02