这是一道利用互感现象计算直导线(回路)感应电动势的基本例题。
例题 04-15-06-03
一矩形截面螺绕环,内外半径分别为
a
和
b
,厚度为
h
,匝数
N
,过环心插有一长直导线,如图所示。当螺绕环中电流变化时,求长直导线中的感应电动势。
分析
解法一
解法二
讨论
解法一
:
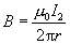
假设直导线中通有电流
,此电流产生的磁场为
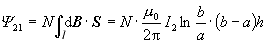
穿过螺绕环的磁链
。
。
。
。
04-15-01-01
04-15-02-01
04-15-02-02
04-15-02-03
04-15-03-01
04-15-03-02
04-15-03-03
04-15-03-04
04-15-04-01
04-15-04-02
04-15-04-03
04-15-05-01
04-15-05-02
04-15-06-01
04-15-06-02
04-15-06-03
04-15-08-01
04-15-08-02