 |
|
|
|
|
|
|
|
这是一道计算密绕螺绕环自感系数的典型例题。例题中采用了自感的两个定义式分别计算了螺绕环的自感系数。
|
|
|
|
|
|
|
|
|
|
|
| |
| |
| |
|
|
|
|
例题 04-15-05-02 如图所示,一截面为矩形的螺绕环,其几何尺寸如图,总匝数为N。
(1)求它的自感系数;
(2)当N=100匝,a=5.0cm,b=10cm,h=1.0cm时,自感为多少?
|
|
|
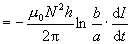
解法二: 我们可以从定义式  求得 L。为此,我们设想电流 I是变化的,即 I是时间 t的函数,则由它产生的磁场也是变化的,所以螺绕环线圈上有感应电动势,由式
 得感应电动势


显然,此电动势就是自感电动势。由式 
知,螺绕环的自感系数为
显然,这和解法一的结果是一致的。
|
|
|
|