|
例题 04-15-05-02 如图所示,一截面为矩形的螺绕环,其几何尺寸如图,总匝数为N。
(1)求它的自感系数;
(2)当N=100匝,a=5.0cm,b=10cm,h=1.0cm时,自感为多少?
|
|
|
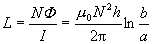
解法一:从自感定义式

求
L。
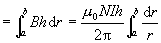
已知载流螺绕环内的磁感强度是

,
由于对称性,凡距离轴为
r之所有点的
B之数值都相同,而方向均垂直截面。于是通过截面的磁通量

由自感定义式得
结果表明,自感系数仅由线圈本身的形状、匝数所决定,而与电流无关。