这是一道计算动生电动势的典型例题。通过该例题的学习,可以掌握计算一般动生电动势的两种方法。并学会对动生电动势方向的判断。
例题 04-15-04-01
如图所示的空间区域内有均匀磁场分布,现有一半圆形线圈,可绕垂直于画面并通过圆心O的轴,以匀角速度
作逆时针方向的转动。起始时刻线圈的位置如图所示,试求感应电动势的大小和方向。
分析
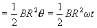
解法一
解法二
讨论
解法一
:用法拉第电磁感应定律求解
首先,沿线圈作一半圆形回路,选顺时针方向为回路正绕向,则回路的面法线正方向垂直于画面向里,与磁场
B
同向。
下面分两种情况来求解
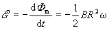
1.当
时,穿过线圈的磁通量为
;
由法拉第电磁感应定律有
其中负号说明
,
为逆时针方向,与回路绕行方向相反。
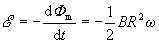
2.当
时,穿过线圈的磁通量为
;
式中
,说明此时
为顺时针方向,与回路绕行方向相同。
04-15-01-01
04-15-02-01
04-15-02-02
04-15-02-03
04-15-03-01
04-15-03-02
04-15-03-03
04-15-03-04
04-15-04-01
04-15-04-02
04-15-04-03
04-15-05-01
04-15-05-02
04-15-06-01
04-15-06-02
04-15-06-03
04-15-08-01
04-15-08-02