例题 04-15-03-01
如图,一金属棒 长
,在大小为
、方向垂直纸面向内的均匀磁场中,以一端 为轴心作逆时针的匀速转动,转速
为
。求此金属棒的动生电动势;并问哪一端电势高? |
|
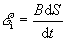
解法二 本题也用法拉第电磁感应定律来求解。
可以这样理解此题:当棒转过

角时,它所扫过的面积为

,通过这面积的磁感线显然都被此棒所切割,如棒转过

角所需时间为

,则棒在单位时间内所切割的磁感线数目,即为所求的金属棒中的动生电动势大小。因此,由于金属棒是在均匀磁场中转动,则

时间内扫过面积的磁通量为

,则
这与解法一所得的结果一致。