题解一
(1) 由题设

,故

,带电粒子

(

>
0)所受的洛伦兹力大小是
这力的方向垂直于带电粒子的速度方向,它只能改变粒子的运动方向,使运动轨道弯曲,而 不会改变运动速度的大小.由上式可知,在粒子运动的全部路程中,洛伦兹力的大小不变,
因此带电粒子将作匀速圆周运动,而洛伦兹力

则是粒子作匀速圆周运动时所需的向
心力.按牛顿第二定律,有
是圆形轨道的半径,由上式可得

(a)
即轨道半径
R
与带电粒子的速率

成正比,而与磁感强度的大小
B
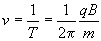
成反比. 顺便指出,带电粒子绕圆形轨道一周所需时间(称为
周期)为

(b)
单位时间内带电粒子所转动的周数(称为频率)为

(c)
即带电粒子在磁场中沿圆形轨道绕行的周期与带电粒子运动的速率

无关
。